Collection: Drug Delivery
High Quality of Activated PEGs and Phospholipids for Drug Delivery System (DDS), Pharmaceutical and Medical Devices.
-
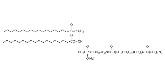
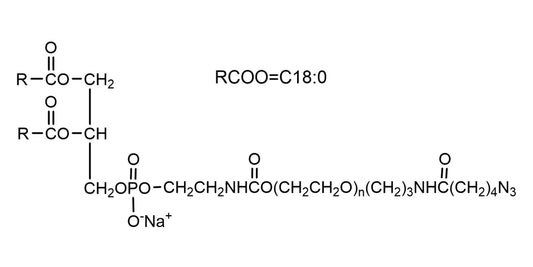
SUNBRIGHT DSPE-020AZ2* (DSPE-PEG-AZ)
Chemical Name: N-[(5-azido-1-oxopentyl) aminopropylpolyoxyethylene oxycarbonyl]-1,2-distearoyl-sn-glycero-3-phosphoethanolamine, sodium saltFunctional Groups: AzideMW: 2000.0100mg amber glass bottle1g amber glass bottle -
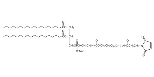
SUNBRIGHT DSPE-020MA2* (DSPE-PEG-MAL)
Chemical Name: (N-[N'-(3'-Maleimido-1'-oxopropyl) aminoethylpolyoxyethylene oxycarbonyl]-1,2-distearoyl-sn-glycero-3-phosphoethanolamine, ammonium saltFunctional Groups: MaleimideMW: 2000.0CAS: 474922-22-0100mg amber glass bottle1g amber glass bottle$396.00 -
SUNBRIGHT DSPE-020EA*(DSPE-PEG-NH2)
Chemical Name: N-(Aminoethylpolyoxyethylene oxycarbonyl)-1,2-distearoyl-sn-glycero-3-phosphoethanolamineFunctional Groups: AminoethylMW: 2000.0100mg amber glass bottle1g amber glass bottle$396.00 -
SUNBRIGHT GS-050DB2*
Chemical Name: 1,2-Distearoyl-rac-glycero-3-{(3’-azadibenzocyclooctyne-3’-oxopropyl)aminocarbonyl} polyoxyethyleneFunctional Groups: DBCOMW: 5000.0Packaging: 100mg100mg amber glass bottleSold out -
SUNBRIGHT GS-034DB2*
Chemical Name: 1,2-Distearoyl-rac-glycero-3-{(3’-azadibenzocyclooctyne-3’-oxopropyl)aminocarbonyl} polyoxyethyleneFunctional Groups: DBCOMW: 3400.0Packaging: 100mg100mg amber glass bottleSold out -
SUNBRIGHT GS-020DB2*
Chemical Name: 1,2-Distearoyl-rac-glycero-3-{(3’-azadibenzocyclooctyne-3’-oxopropyl)aminocarbonyl} polyoxyethyleneFunctional Groups: DBCOMW: 2000.0Packaging: 100mg100mg amber glass bottle -
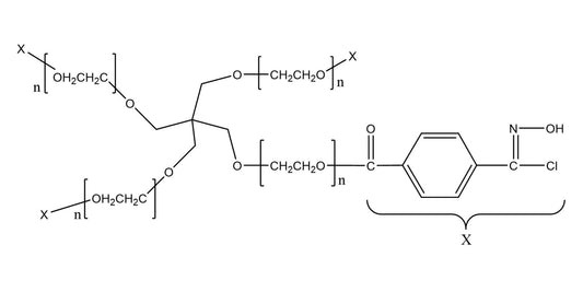
SUNBRIGHT PTE-100HM3*
Chemical Name: Pentaerythritol tetra{4-[chloro(hydroxyimino)methyl]phenylcarbonyl}-polyoxyethyleneFunctional Groups: Hydroximoyl ChlorideMW: 10000.0Packaging: 1g, 10g1g amber glass bottle10g aluminum pouch$330.00Sold out -
SUNBRIGHT PTE-100NB3*
Chemical Name: Pentaerythritol tetra(5-norbornene-2-carbonyl)-polyoxyethyleneFunctional Groups: NorborneneMW: 10000.0Packaging: 1g, 10g1g amber glass bottle10g aluminum pouch$220.00Sold out -
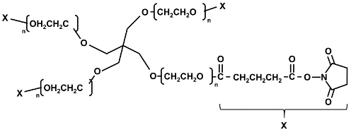
SUNBRIGHT PTE-100GS
Chemical Name: Pentaerythritol tetra(succinimidyloxyglutaryl) polyoxyethylene4arm PEG, -(CO(CH2)3COO-NHS)4Functional Groups: NHS esterMW: 10000.0Packaging: 1g, 10gCAS: 302781-03-91g amber glass bottle10g aluminum pouch$88.00 -
SUNBRIGHT MA-400TS*
Chemical Name: α-[3-(3-Maleimido-1-oxopropyl)amino]propyl-ω-(succinimidyl-oxycarboxy),polyoxyethyleneFunctional Groups: Maleimide, NHS carbonateMW: 40000.0CAS: 1240508-24-0100mg amber glass bottle$264.00Sold out -
SUNBRIGHT DSPE-034GS (DSPE-PEG-NHS)
Chemical Name: 3-(N-succinimidyloxyglutaryl)aminopropyl, polyethyleneglycol-carbamyl distearoylphosphatidyl-ethanolamineFunctional Groups: NHS esterMW: 3400.0CAS: 1244784-44-8100mg amber glass bottle1g amber glass bottle$396.00 -
SUNBRIGHT GM-050EX (DMG-PEG)*
Chemical Name: 1,2-Dimyristoyl-rac-glycero-3-methylpolyoxyethyleneMW: 5000.0Packaging: 1g, 10gCAS: 160743-62-41g amber glass bottle10g aluminum pouch$176.00 -
SUNBRIGHT® ME-020EA
Chemical Name: α- Aminoethyl-ω-methoxy, polyoxyethyleneMethoxy-PEG-(CH2)2-NH2Functional Groups: AminoethylMW: 2000.0Packaging: 1g, 10gCAS: 80506-64-51g amber glass bottle10g aluminum pouch$99.00 -
COATSOME MG-8181LS (DOPG-Na)
Chemical Name: 1,2-Dioleoyl-sn-glycero-3-phosphoglycerol, sodium saltMW: 797.0Packaging: 1g, 10gCAS: 67254-28-81g amber glass bottle10g aluminum pouch$330.00 -
COATSOME MG-8080LS (DSPG-Na)
Chemical Name: 1,2-Distearoyl-sn-glycero-3-phosphoglycerol, sodium saltMW: 801.1Packaging: 1g, 10gCAS: 67232-82-01g amber glass bottle10g aluminum pouch$92.00 -
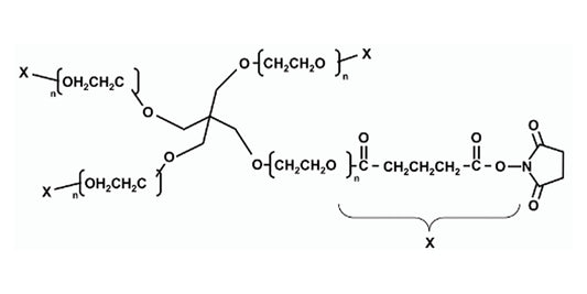
SUNBRIGHT PTE-400GS*
Chemical Name: Pentaerythritol tetra(succinimidyloxyglutaryl) polyoxyethyleneFunctional Groups: NHS esterMW: 40000.0Packaging: 1g, 10gCAS: 302781-03-91g amber glass bottle10g aluminum pouch$99.00 -
SUNBRIGHT PTE-200MA
Chemical Name: Pentaerythritol tetra{[3-(3-maleimido-1-oxopropyl)amino]propyl}-polyoxyethyleneFunctional Groups: MaleimideMW: 20000.0Packaging: 1g, 10gCAS: 1415799-79-91g amber glass bottle10g aluminum pouch$132.00 -
SUNBRIGHT DE-300PA
Chemical Name: α-aminopropyl-ω-aminopropoxy, polyoxyethyleneFunctional Groups: AminopropylMW: 30000.0Packaging: 1g, 10gCAS: 1111404-84-41g amber glass bottle10g aluminum pouch$127.00 -
SUNBRIGHT® MEPA-30T
Chemical Name: α- Aminopropyl-ω-methoxy, polyoxyethyleneMethoxy-PEG-(CH2)3-NH2Functional Groups: AminopropylMW: 30000.0Packaging: 1g, 10gCAS: 116164-53-51g amber glass bottle10g aluminum pouch$127.00 -
SUNBRIGHT® ME-400GS
Chemical Name: α-Succinimidyloxyglutaryl-ω-methoxy, polyoxyethyleneMethoxy-PEG-CO(CH2)3COO-NHSFunctional Groups: NHS esterMW: 40000.0Packaging: 1g, 10gCAS: 111575-54-31g amber glass bottle10g aluminum pouch$154.00 -
SUNBRIGHT® ME-100CS
Chemical Name: α-Succinimidyloxysuccinyl-ω-methoxy, polyoxyethyleneMethoxy-PEG-CO(CH2)2COO-NHSFunctional Groups: NHS esterMW: 10000.0Packaging: 1g, 10gCAS: 78274-32-51g amber glass bottle10g aluminum pouch$110.00 -
COATSOME FE-8080MA3 (DSPE-MAL)
Chemical Name: N-(3-Maleimide-1-oxopropyl)-L-α-phosphatidylethanolamine, DistearoylFunctional Groups: MaleimideMW: 921.2CAS: 1360807-52-8100mg amber glass bottle1g amber glass bottle$1,155.00 -
COATSOME MS-4040LS (DMPS-Na)
Chemical Name: 1,2-Dimyristoyl-sn-glycero-3-phospho-L-serine, sodium saltMW: 701.8Packaging: 1gCAS: 105405-50-31g amber glass bottle$396.00 -
SUNBRIGHT® ME-200CS
Chemical Name: α-Succinimidyloxysuccinyl-ω-methoxy, polyoxyethyleneMethoxy-PEG-CO(CH2)2COO-NHSFunctional Groups: NHS esterMW: 20000.0Packaging: 1g, 10gCAS: 78274-32-51g amber glass bottle10g aluminum pouch$110.00 -
SUNBRIGHT DSPE-050DB*
Chemical Name: N-[(4-dibenzoazacyclooctyl-1,4-dioxobutyl) aminopropylpolyoxyethylene oxycarbonyl]-1,2-distearoyl-sn-glycero-3-phosphoethanolamine, sodium saltFunctional Groups: DBCOMW: 5000.0100mg amber glass bottle1g amber glass bottleSold out -
SUNBRIGHT DSPE-034DB*
Chemical Name: N-[(4-dibenzoazacyclooctyl-1,4-dioxobutyl) aminopropylpolyoxyethylene oxycarbonyl]-1,2-distearoyl-sn-glycero-3-phosphoethanolamine, sodium saltFunctional Groups: DBCOMW: 3400.0100mg amber glass bottle1g amber glass bottleSold out -
SUNBRIGHT DSPE-020DB*
Chemical Name: N-[(4-dibenzoazacyclooctyl-1,4-dioxobutyl) aminopropylpolyoxyethylene oxycarbonyl]-1,2-distearoyl-sn-glycero-3-phosphoethanolamine, sodium saltFunctional Groups: DBCOMW: 2000.0100mg amber glass bottle1g amber glass bottle -
SUNBRIGHT DSPE-050AZ2*
Chemical Name: N-[(5-azido-1-oxopentyl) aminopropylpolyoxyethylene oxycarbonyl]-1,2-distearoyl-sn-glycero-3-phosphoethanolamine, sodium saltDSPE-PEG-AzideFunctional Groups: AzideMW: 5000.0100mg amber glass bottle1g amber glass bottleSold out -
SUNBRIGHT DSPE-034AZ2*
Chemical Name: N-[(5-azido-1-oxopentyl) aminopropylpolyoxyethylene oxycarbonyl]-1,2-distearoyl-sn-glycero-3-phosphoethanolamine, sodium saltDSPE-PEG-AzideFunctional Groups: AzideMW: 3400.0100mg amber glass bottle1g amber glass bottleSold out -
SUNBRIGHT GS-050AZ
Chemical Name: 1,2-Distearoyl-rac-glycero-3-(2'-azidoethyl) polyoxyethyleneDSG-PEG-AzideFunctional Groups: AzideMW: 5000.0100mg amber glass bottle1g amber glass bottle$1,661.00 -
SUNBRIGHT GS-034AZ
Chemical Name: 1,2-Distearoyl-rac-glycero-3-(2'-azidoethyl) polyoxyethyleneDSG-PEG-AzideFunctional Groups: AzideMW: 3400.0100mg amber glass bottle1g amber glass bottle$1,661.00 -
SUNBRIGHT GS-020AZ
Chemical Name: 1,2-Distearoyl-rac-glycero-3-(2'-azidoethyl) polyoxyethyleneDSG-PEG-AzideFunctional Groups: AzideMW: 2000.0100mg amber glass bottle1g amber glass bottle$1,661.00 -
SUNBRIGHT GS-050MA
Chemical Name: 1,2-Distearoyl-rac-glycero-3-(2'-maleimidoethyl) polyoxyethyleneDSG-PEG-MaleimideFunctional Groups: MaleimideMW: 5000.0CAS: 2765451-87-2100mg amber glass bottle1g amber glass bottle$1,661.00 -
SUNBRIGHT GS-034MA
Chemical Name: 1,2-Distearoyl-rac-glycero-3-(2'-maleimidoethyl) polyoxyethyleneDSG-PEG-MaledimieFunctional Groups: MaleimideMW: 3400.0CAS: 2765451-87-2100mg amber glass bottle1g amber glass bottle$1,661.00 -
SUNBRIGHT PTE-100NB2*
Chemical Name: Pentaerythritol tetra{3-[(5-norbornene-2-carbonyl)amino]propyl}-polyoxyethylene4arm PEG, -((CH2)3NHCO-Norbornene)4Functional Groups: NorborneneMW: 10000.01g amber glass bottle10g aluminum pouch$330.00Sold out -
SUNBRIGHT PTE-400EA*
Chemical Name: Pentaerythritol tetra(aminoethyl) polyoxyethylene4arm PEG, -((CH2)2-NH2)4Functional Groups: AminoethylMW: 40000.0CAS: 169501-65-91g amber glass bottle10g aluminum pouch$66.00Sold out