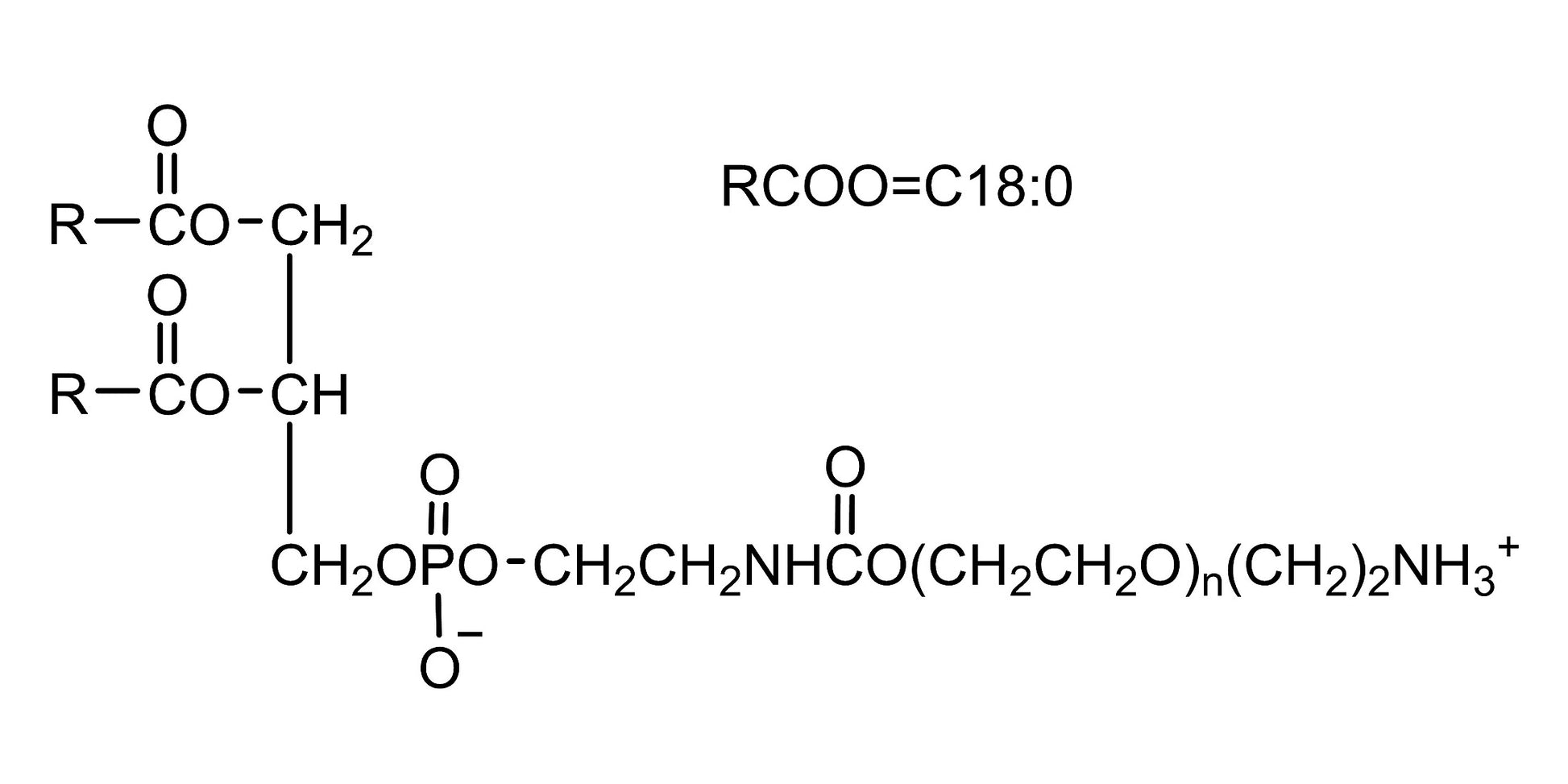
SUNBRIGHT DSPE-020EA is a functionalized PEG phospholipid designed to enhance the performance of lipid nanoparticle (LNP) and liposomal formulations in active targeting delivery systems. It features an amine group linked to a PEG phospholipid (DSPE-PEG2000), enabling stable covalent bond formation with various activated groups (e.g., NHS esters, carboxylates via coupling reagents, or aldehydes under reductive amination), facilitating efficient ligand conjugation.
Acronym: DSPE-PEG-NH2
DSPE-PEG-Azide
Chemical Name: N-(Aminoethylpolyoxyethylene oxycarbonyl)-1,2-distearoyl-sn-glycero-3-phosphoethanolamine
Package size: 100mg or 1g amber glass bottle
*: make-to-order
