SUNBRIGHT DSPE-020AZ2 is a functionalized PEG phospholipid designed to enhance the performance of lipid nanoparticle (LNP) and liposomal formulations in active targeting delivery systems. It features a maleimide group linked to a PEG phospholipid (DSPE-PEG2000), providing a versatile platform for bioconjugation. The maleimide group site-specifically reacts with thiol groups on bioactive molecules such as peptides, antibodies, or other ligands, enabling the creation of LNPs with enhanced precise cellular targeting.
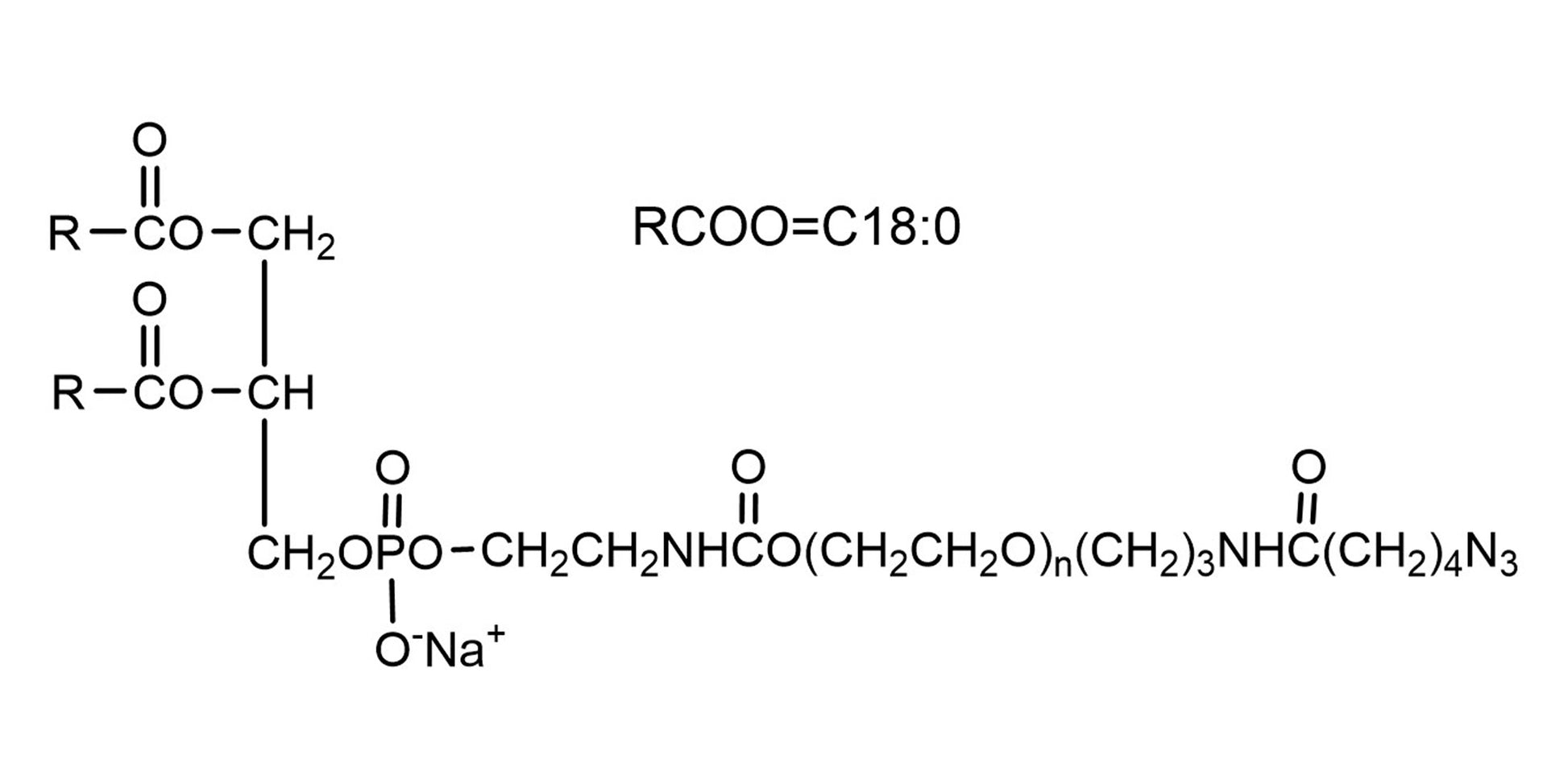
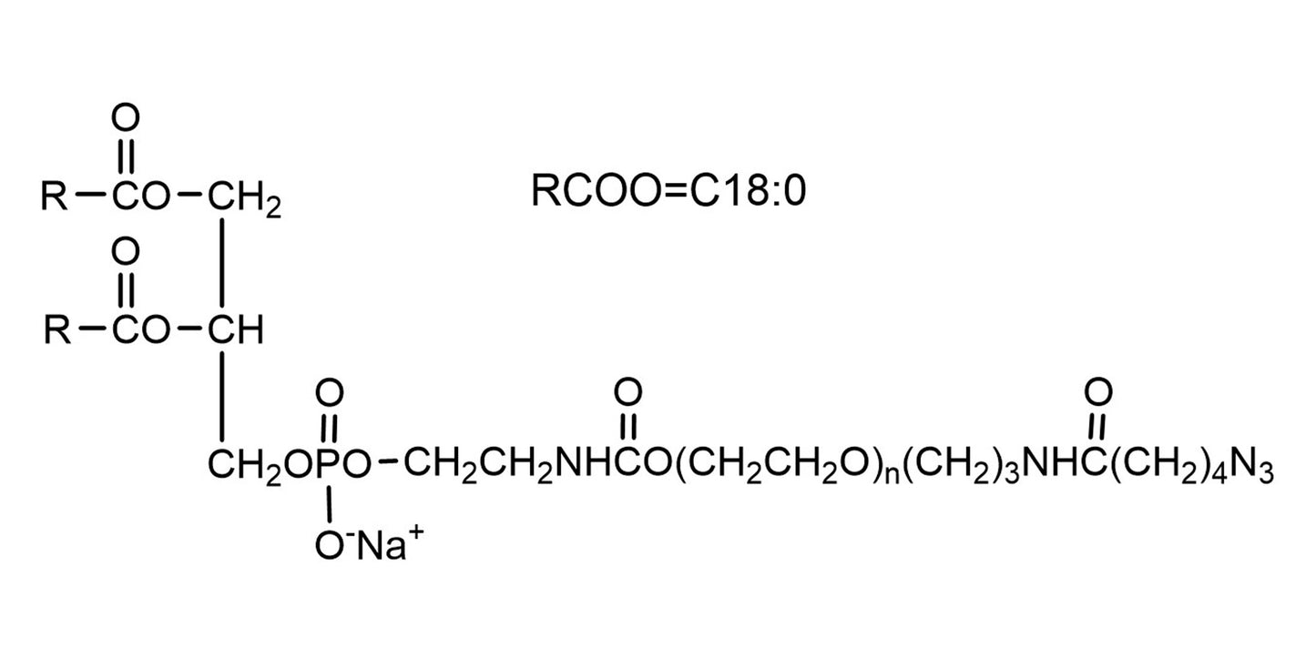
DSPE-PEG-Azide
Chemical Name: N-[(5-azido-1-oxopentyl) aminopropylpolyoxyethylene oxycarbonyl]-1,2-distearoyl-sn-glycero-3-phosphoethanolamine, sodium salt
Package size: 100mg or 1g amber glass bottle.
*: make-to-order
