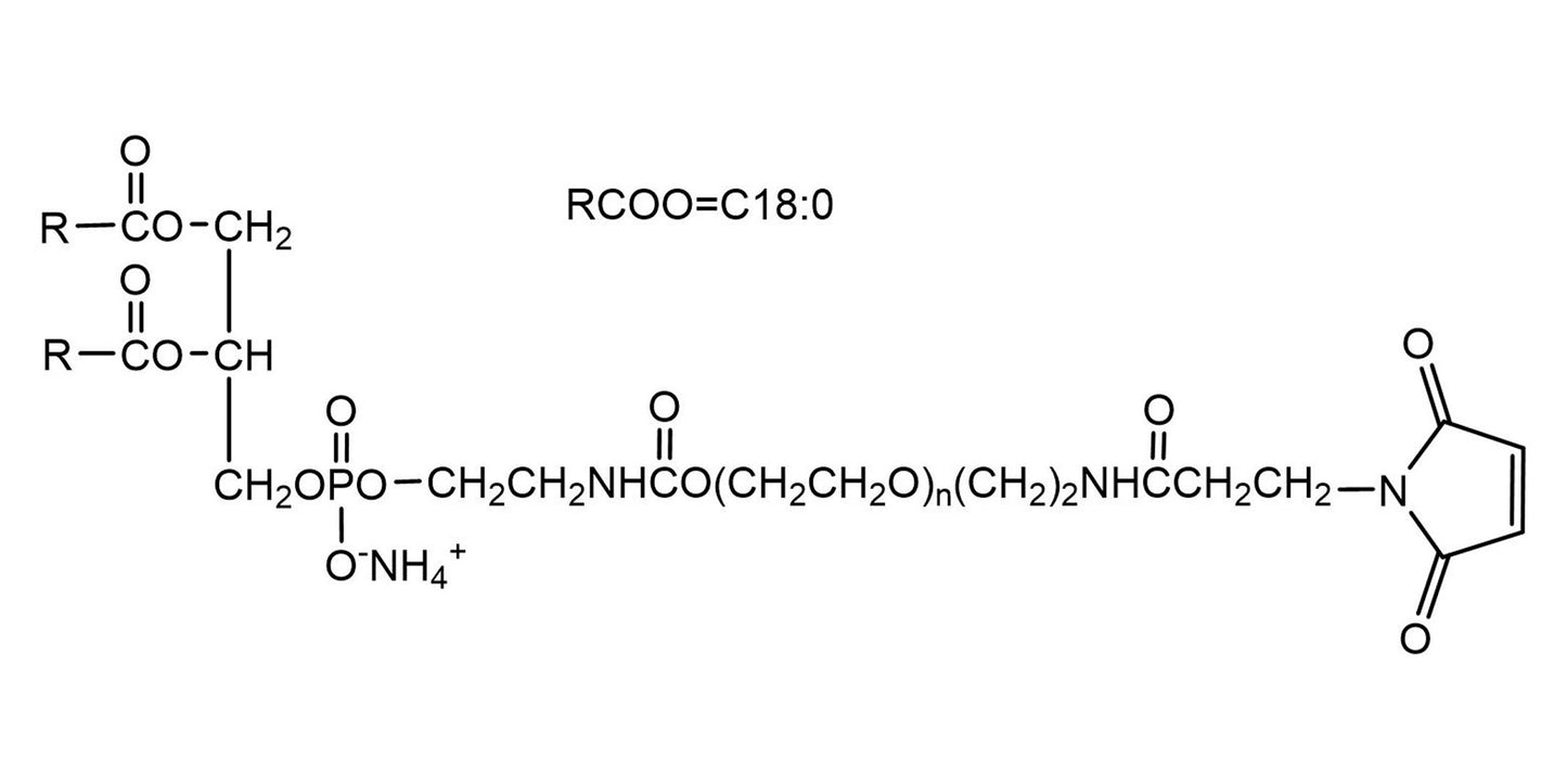
SUNBRIGHT DSPE-020MA2 is a functionalized PEG phospholipid designed to enhance the performance of lipid nanoparticle (LNP) and liposomal formulations in active targeting delivery systems. It features a maleimide group linked to a PEG phospholipid (DSPE-PEG2000), providing a versatile platform for bioconjugation. The maleimide group site-specifically reacts with thiol groups on bioactive molecules such as peptides, antibodies, or other ligands, enabling the creation of LNPs with enhanced precise cellular targeting.
Acronym: DSPE-PEG-MAL (Ammonium salt)
Chemical Name: (N-[N'-(3'-Maleimido-1'-oxopropyl) aminoethylpolyoxyethylene oxycarbonyl]-1,2-distearoyl-sn-glycero-3-phosphoethanolamine, ammonium salt
Package size: 100mg・1g
*: make-to-order
