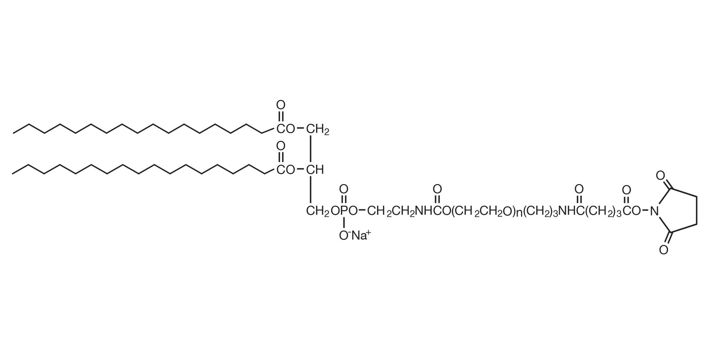
SUNBRIGHT DSPE-034GS is a functionalized PEG phospholipid designed to enhance the performance of lipid nanoparticle (LNP) and liposomal formulations in active targeting delivery systems. It features a NHS group linked to a PEG phospholipid (DSPE-PEG3400), allowing conjugation with amine-containing molecules to form a stable amide bond.
Acronym: DSPE-PEG-NHS
Chemical Name: 3-(N-succinimidyloxyglutaryl)aminopropyl, polyethyleneglycol-carbamyl distearoylphosphatidyl-ethanolamine, sodium salt
CAS#: 1244784-44-8
PEG chain Molecular weight: 3400
Alkyl composition: RCOO= C18:0
Package size: 100mg・1g amber glass bottle.
