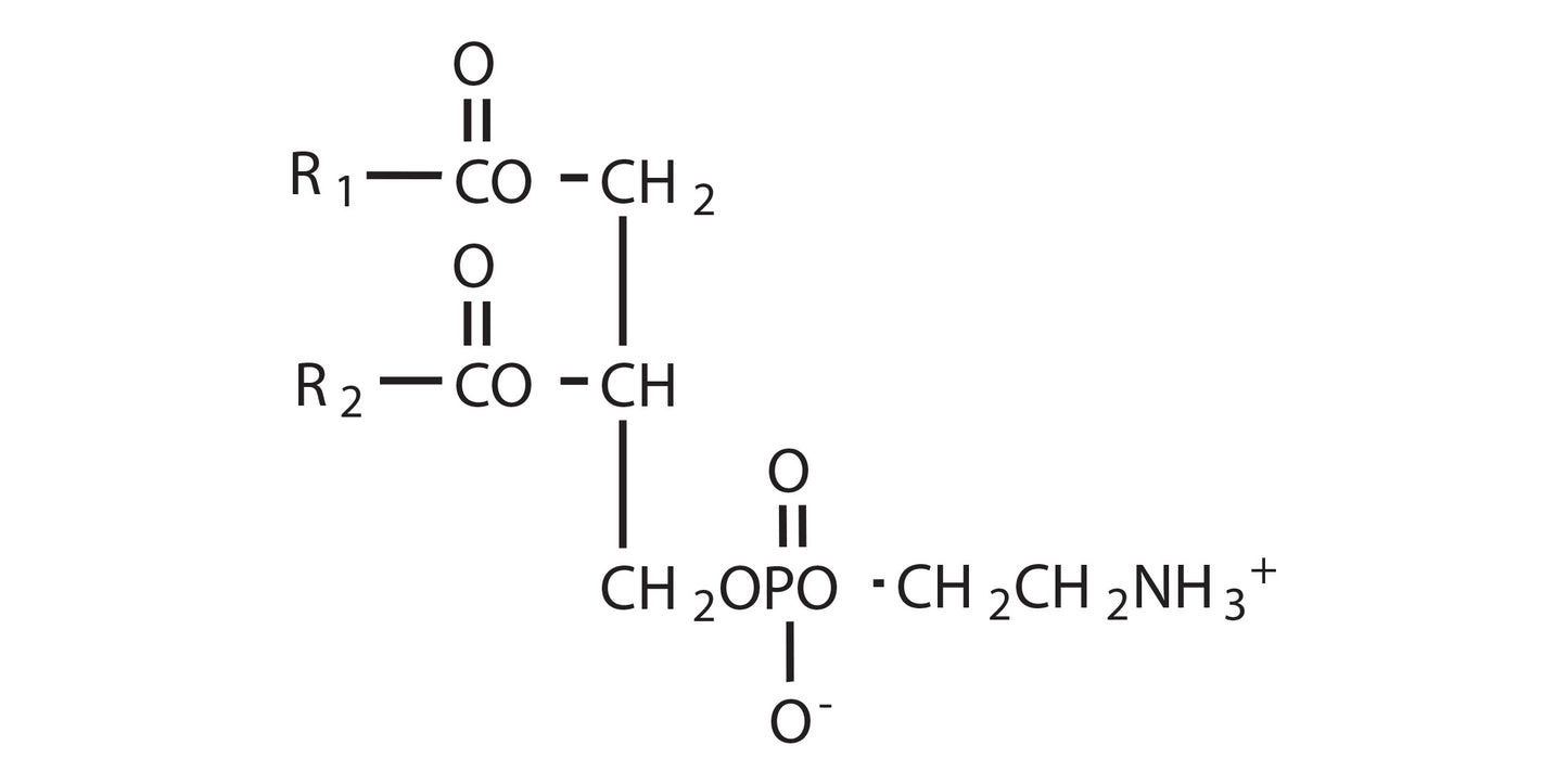
Acronym: POPE
DSG-PEG-Azide, PEG MW 5,000
Chemical Name: 1,2-Distearoyl-rac-glycero-3-(2'-azidoethyl) polyoxyethylene
RCOO= C18:0

Acronym: POPE
DSG-PEG-Azide, PEG MW 5,000
Chemical Name: 1,2-Distearoyl-rac-glycero-3-(2'-azidoethyl) polyoxyethylene
RCOO= C18:0
