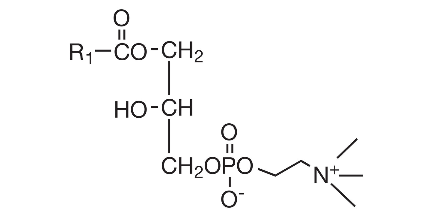
COATSOME MC-60H (P-LysoPC), or 1-Palmitoyl-2-lyso-sn-glycero-3-phosphocholine, is a ≥99% pure synthetic lysophospholipid. Featuring a C16:0 fatty acid (16 carbon atoms, no double bonds, palmitic acid) at the sn-1 position and a hydroxyl group at the sn-2 position, P-LysoPC introduces asymmetry into lipid bilayers, enhancing membrane fluidity and permeability.
As a lyso-phosphatidylcholine, P-LysoPC is widely utilized for modulating membrane characteristics and promoting membrane fusion. Manufactured using highly purified fatty acids, MC-60H offers consistent quality for pharmaceutical research and advanced formulation development.
Acronym: P-LysoPC
Chemical Name: 1-Palmitoyl-2-lyso-sn-glycero-3-phosphocholine
CAS#: 17364-16-8
PC purity: 99% up
Molecular weight: 495.6
Alkyl composition: R1COO= C16:0
