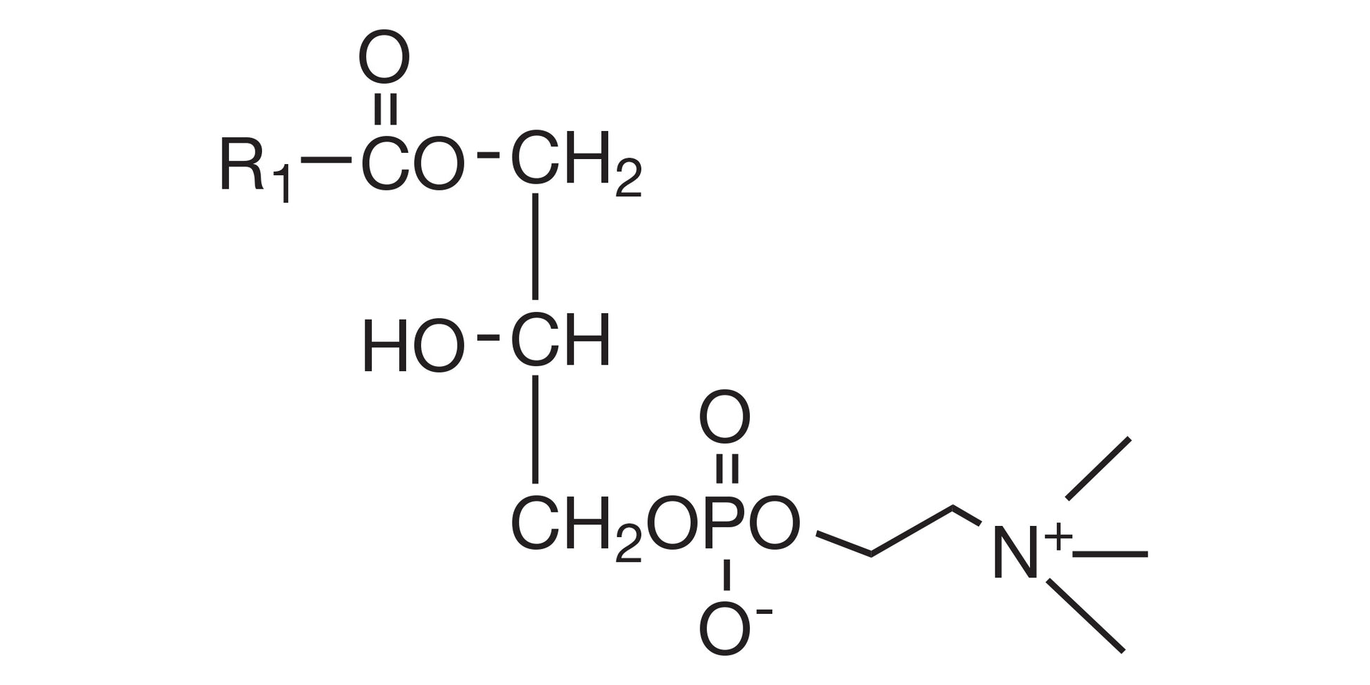
COATSOME MC-40H (M-LysoPC), or 1-Myristoyl-2-lyso-sn-glycero-3-phosphocholine, is a ≥99% pure synthetic lysophospholipid. Featuring a C14:0 fatty acid (14 carbon atoms, no double bonds, myristic acid) at the sn-1 position and a hydroxyl group at the sn-2 position, M-LysoPC introduces asymmetry into lipid bilayers, enhancing membrane fluidity and permeability.
As a lyso-phosphatidylcholine, M-LysoPC is widely utilized for modulating membrane characteristics and promoting membrane fusion. Manufactured using highly purified fatty acids, MC-40H offers consistent quality for pharmaceutical research and advanced formulation development.
Acronym: M-LysoPC
Chemical Name: 1-Myristoyl-2-lyso-sn-glycero-3-phosphocholine
CAS#: 20559-16-4
PC purity: 99% up
Molecular weight: 467.6
Alkyl composition: R1COO= C14:0
*: make-to-order
