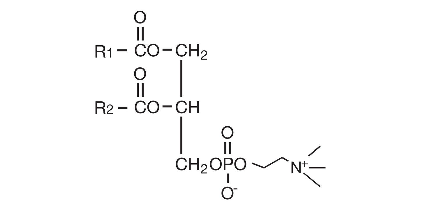
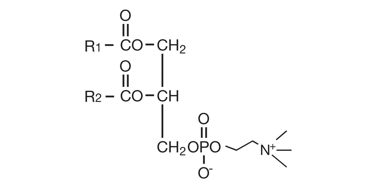
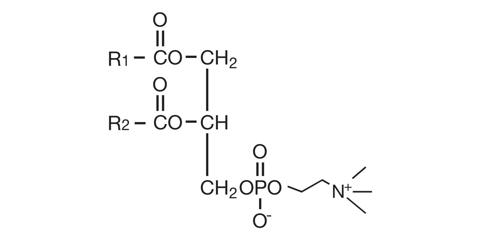
COATSOME MC-4040 (DMPC), or 1,2-Dimyristoyl-sn-glycero-3-phosphocholine, is a ≥99% pure synthetic phospholipid. Composed of C14:0 fatty acids (14 carbon atoms, no double bonds, myristic acid) at both the sn-1 and sn-2 positions, DMPC provides moderate membrane rigidity and fluidity, making it suitable for liposomal and lipid nanoparticle (LNP) formulations.
With a phase transition temperature (Tc) of approximately 24°C, DMPC enables controlled membrane behavior near physiological temperatures, supporting formulation stability and performance. Manufactured using highly purified fatty acids, MC-4040 offers consistent quality suitable for pharmaceutical research and clinical applications.
Acronym: DMPC
Chemical Name: 1,2-Dimyristoyl-sn-glycero-3-phosphocholine
CAS#: 18194-24-6
PC purity: 99% up
Molecular weight: 677.9
Alkyl composition: R1COO= C14:0, R2COO= C14:0
Tc: 24
