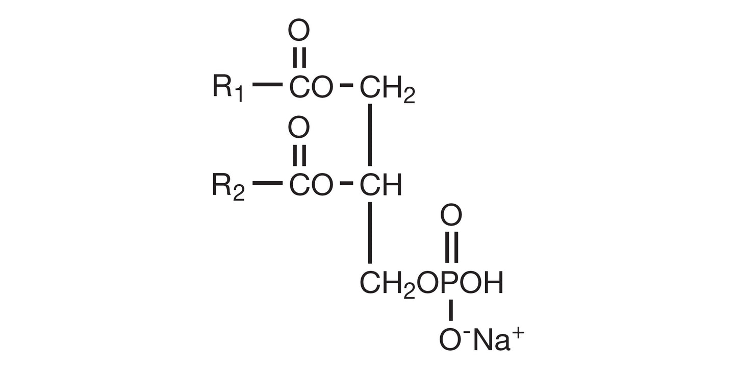
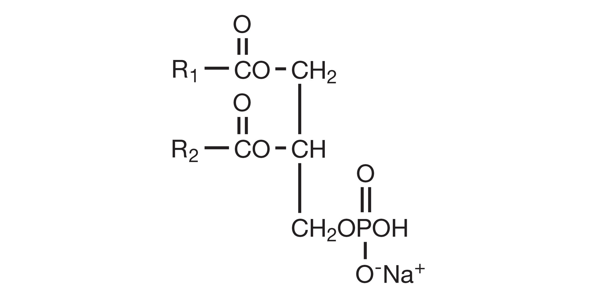
COATSOME MA-4040LS (DMPA-Na), or 1,2-Dimyristoyl-sn-glycero-3-phosphate, sodium salt, is a ≥98% pure synthetic phospholipid. Featuring C14:0 fatty acids (14 carbon atoms, no double bonds, myristic acid) at both the sn-1 and sn-2 positions, DMPA-Na provides a small, highly negatively charged phosphate headgroup, contributing to membrane destabilization and promoting electrostatic interactions within lipid formulations.
DMPA-Na is suitable for liposomal and lipid nanoparticle (LNP) formulations, and can support the design of advanced drug delivery systems requiring enhanced membrane fusion or endosomal escape. Manufactured using highly purified fatty acids, MA-4040LS offers consistent quality for pharmaceutical research and clinical applications.
Acronym: DMPA-Na
Chemical Name: 1,2-Dimyristoyl-sn-glycero-3-phosphatidic acid, sodium salt
CAS#: 80724-31-8
PA purity: 98% up
Molecular weight: 614.8
Alkyl composition: R1COO= C14:0, R2COO= C14:0
*: make-to-order
