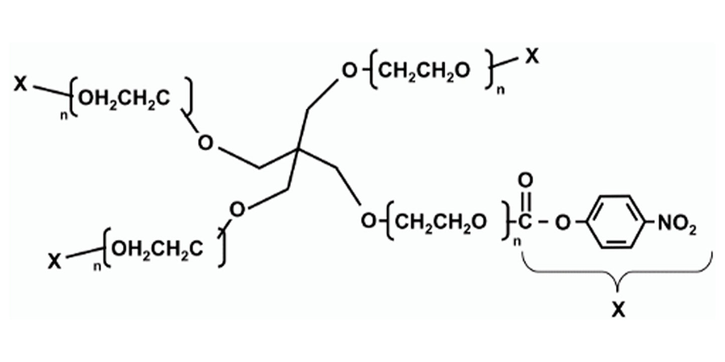
SUNBRIGHT PTE-400NP is a 4-arm PEG derivative with a total molecular weight of 40 kDa (approximately 10 kDa per PEG arm), featuring p-nitrophenyl carbonate groups at each arm terminus. The multi-arm structure and p-nitrophenyl carbonate groups enable efficient crosslinking with amine-containing molecules, making PTE-400NP suitable for hydrogel formation and other biomedical applications requiring precise network construction.
4arm PEG, -(COO-pNP)4, Mw 40,000
Chemical Name: Pentaerythritol tetra(4-nitrophenoxy carbonyl) polyoxyethylene
*: make-to-order
