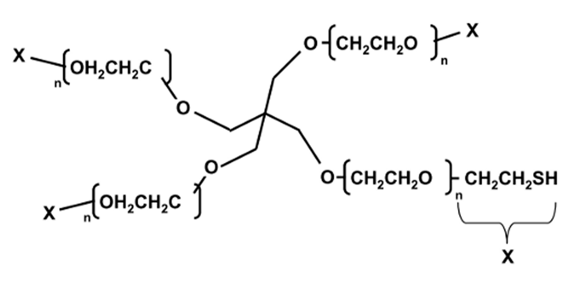
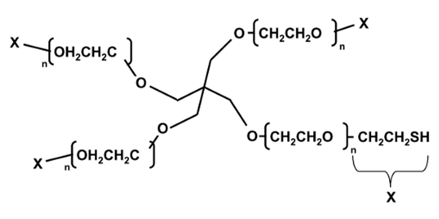
SUNBRIGHT PTE-200SH is a 4-arm PEG derivative with a total molecular weight of 20 kDa (approximately 5,000 Da per PEG arm), featuring thiol groups at each arm terminus. The multi-arm structure and thiol groups enable efficient crosslinking with maleimide-containing molecules, making PTE-200SH suitable for hydrogel formation and other biomedical applications requiring precise network construction.
4arm PEG, -((CH2)2-SH)4, Mw 20,000
Chemical Name: Pentaerythritol tetra(mercaptoethyl) polyoxyethylene
CAS#: 188492-68-4
