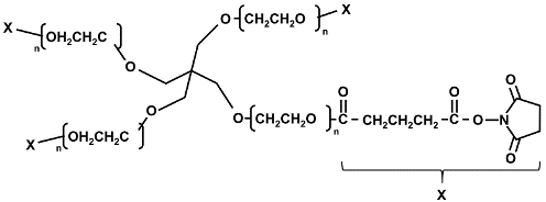
SUNBRIGHT PTE-200GS is a 4-arm PEG derivative with a total molecular weight of 20 kDa (approximately 5,000 Da per PEG arm), featuring NHS ester groups at each arm terminus. Each NHS ester is linked to the PEG chain via a glutaric acid linker. The multi-arm structure and NHS ester groups enable efficient crosslinking with amine-containing molecules, making PTE-200GS suitable for hydrogel formation and other biomedical applications requiring precise network construction.
4arm PEG, -(CO(CH2)3COO-NHS)4, Mw 20,000
Chemical Name: Pentaerythritol tetra(succinimidyloxyglutaryl) polyoxyethylene
CAS#: 302781-03-9
