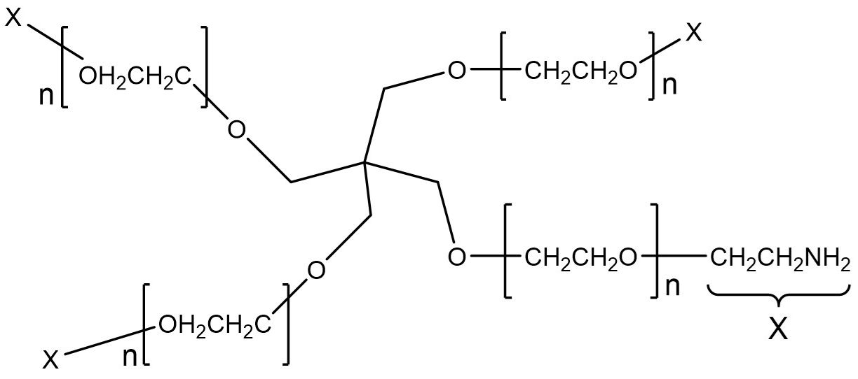
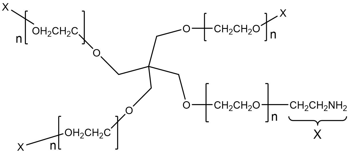
SUNBRIGHT PTE-200EA is a 4-arm PEG derivative with a total molecular weight of 40 kDa (approximately 10 kDa per PEG arm), featuring propylamine groups at each arm terminus. The amine groups react with various activated groups, such as NHS esters, carboxylates via coupling reagents, or aldehydes under reductive amination, enabling stable covalent bond formation. The multi-arm structure and reactivity of the amine groups make PTE-050PA suitable for hydrogel formation and other biomedical applications requiring precise network construction.
4arm PEG, -((CH2)2-NH2)4, Mw 20,000
Chemical Name: Pentaerythritol tetra(aminoethyl) polyoxyethylene
CAS#: 169501-65-9
*: make-to-order
