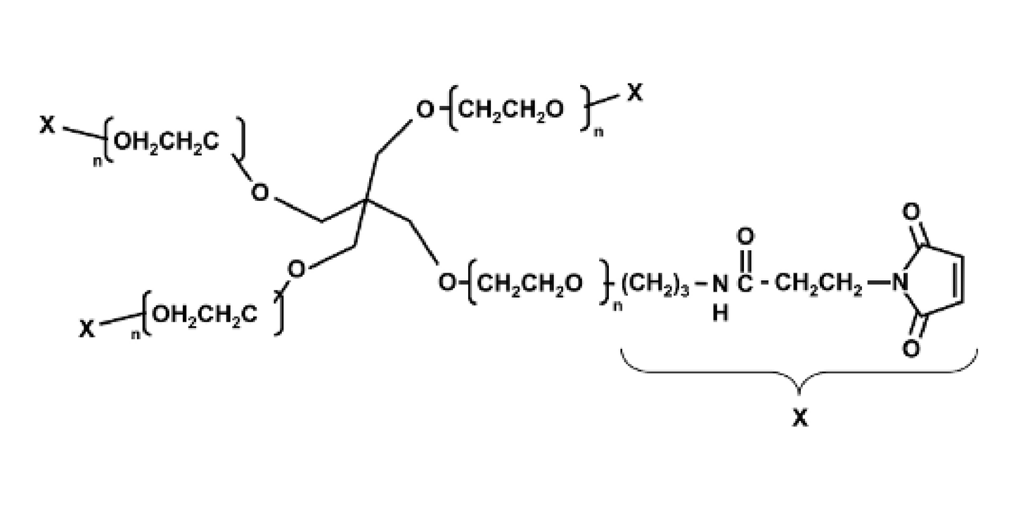
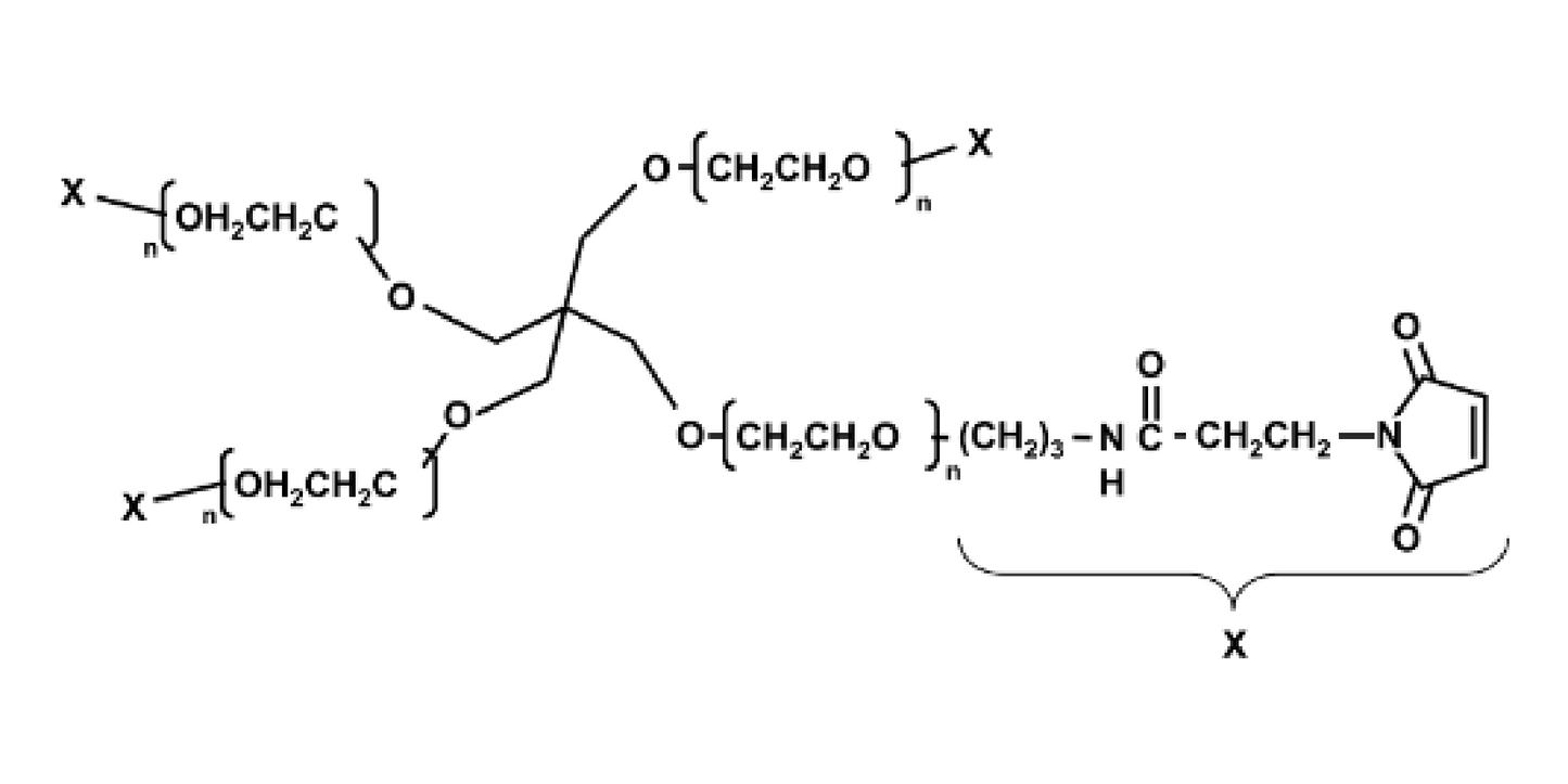
SUNBRIGHT PTE-100MA is a 4-arm PEG derivative with a total molecular weight of 10 kDa (approximately 2,500 Da per PEG arm), featuring maleimide groups at each arm terminus. The multi-arm structure and maleimide groups enable efficient crosslinking with thiol-containing molecules, making PTE-100MA suitable for hydrogel formation and other biomedical applications requiring precise network construction.
4arm PEG, -((CH2)3NHCO(CH2)2-MAL)4, Mw 10,000
Chemical Name: Pentaerythritol tetra{[3-(3-maleimido-1-oxopropyl)amino]propyl}-polyoxyethylene
CAS#:1415799-79-9
