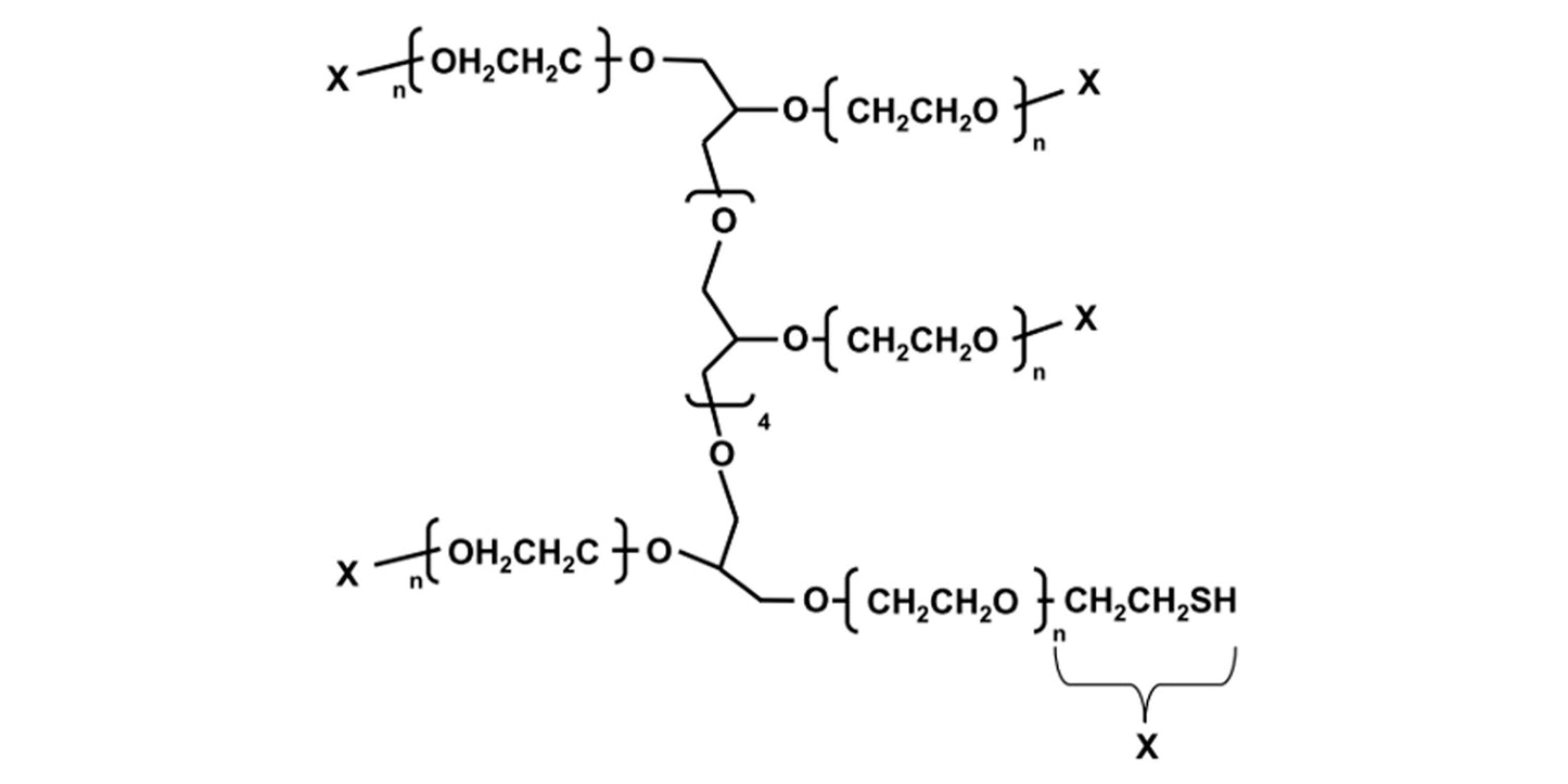
SUNBRIGHT HGEO-200SH is an 8-arm PEG derivative with a total molecular weight of 20 kDa (approximately 2,500 Da per PEG arm), featuring thiol groups at each arm terminus. The multi-arm structure and thiol groups enable efficient crosslinking with maleimide-containing molecules, making HGEO-200SH suitable for hydrogel formation and other biomedical applications requiring precise network construction.
8arm PEG, -((CH2)2-SH)8, Mw 20,000
Chemical Name: Hexaglycerol octa(mercaptoethyl) polyoxyethylene
