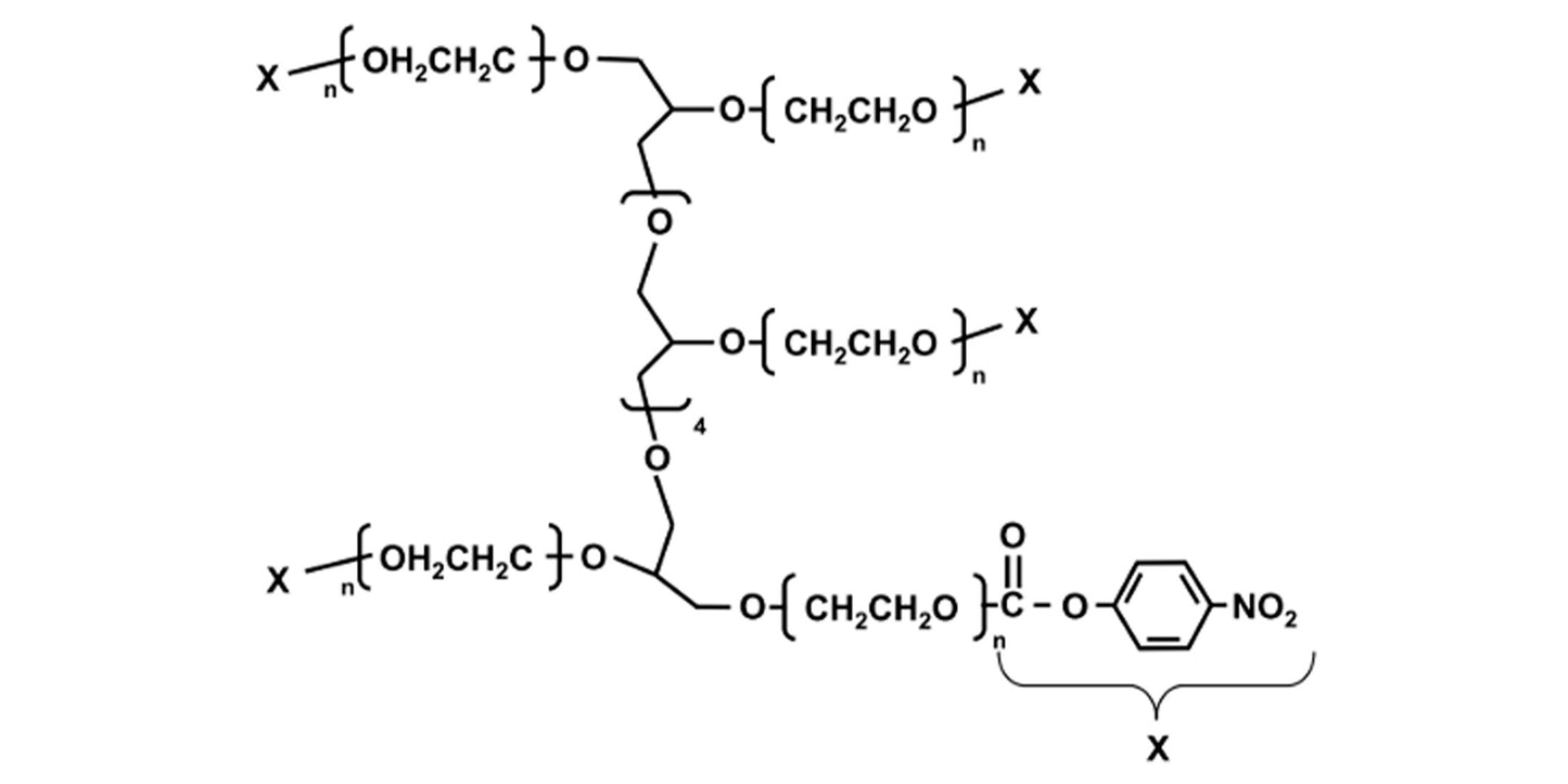
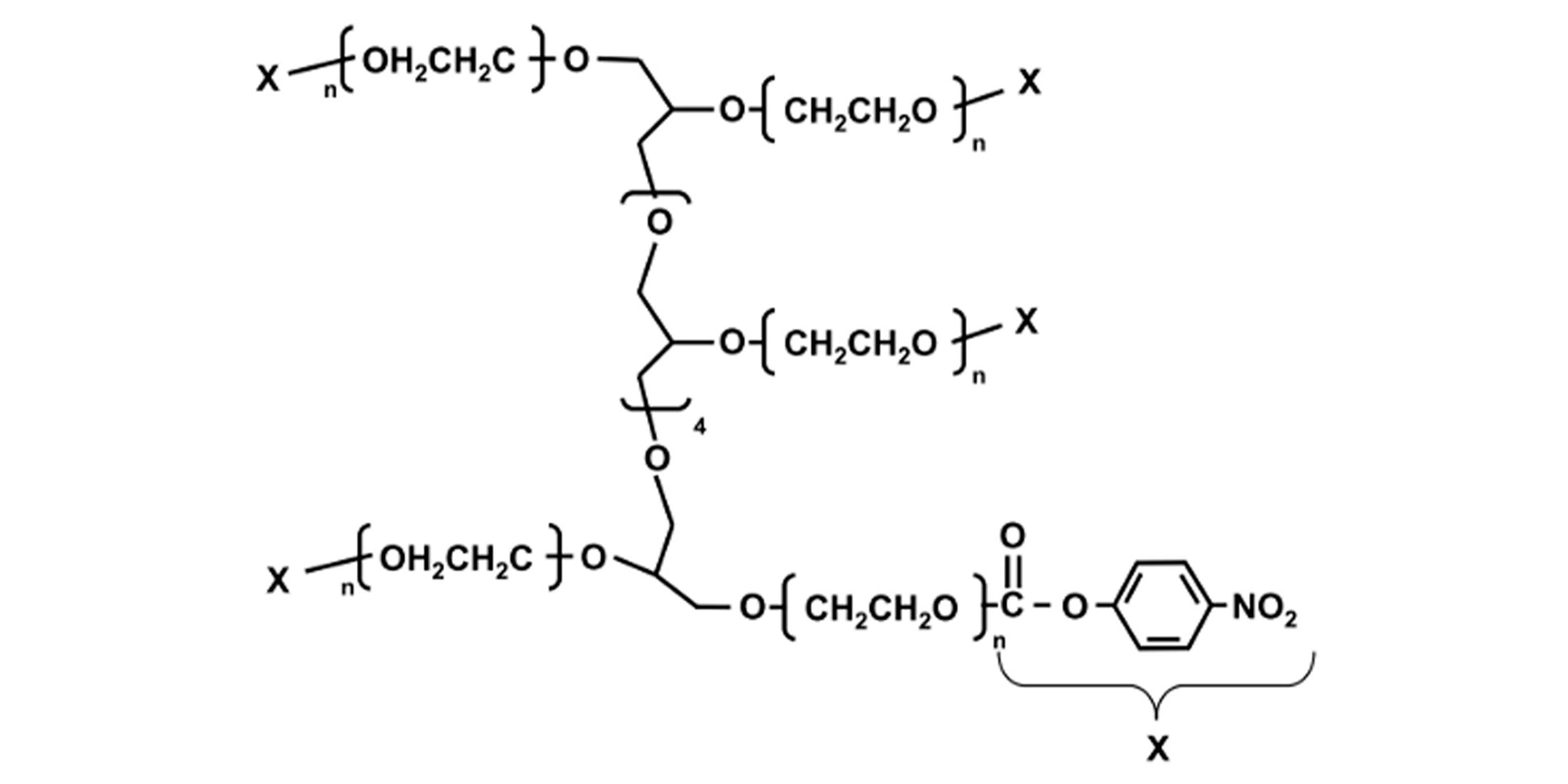
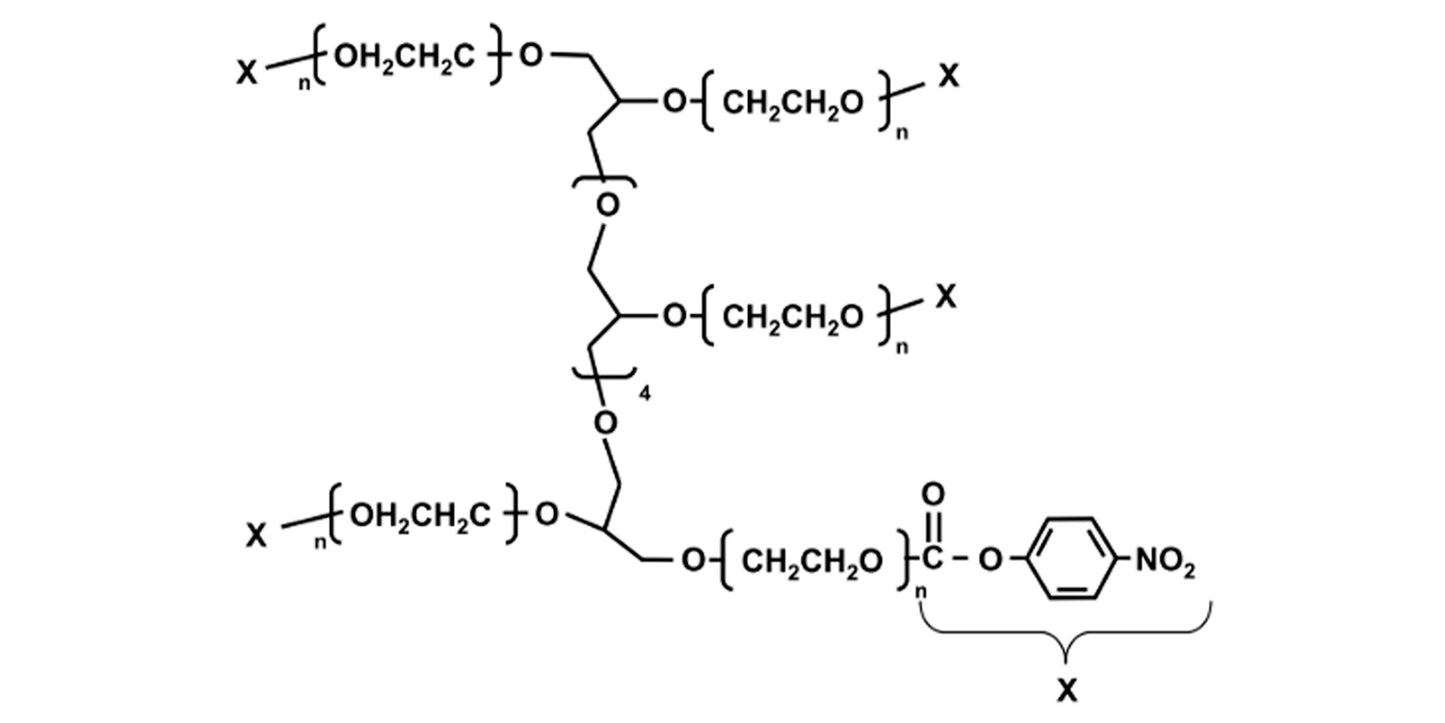
SUNBRIGHT HGEO-200NP is an 8-arm PEG derivative with a total molecular weight of 20 kDa (approximately 2,500 Da per PEG arm), featuring p-nitrophenyl carbonate groups at each arm terminus. The multi-arm structure and p-nitrophenyl carbonate groups enable efficient crosslinking with amine-containing molecules, making HGEO-200NP suitable for hydrogel formation and other biomedical applications requiring precise network construction.
8arm PEG, -(COO-pNP)8, Mw 20,000
Chemical Name: Hexaglycerol octa(4-nitrophenoxy carbonyl) polyoxyethylene
*: make-to-order
