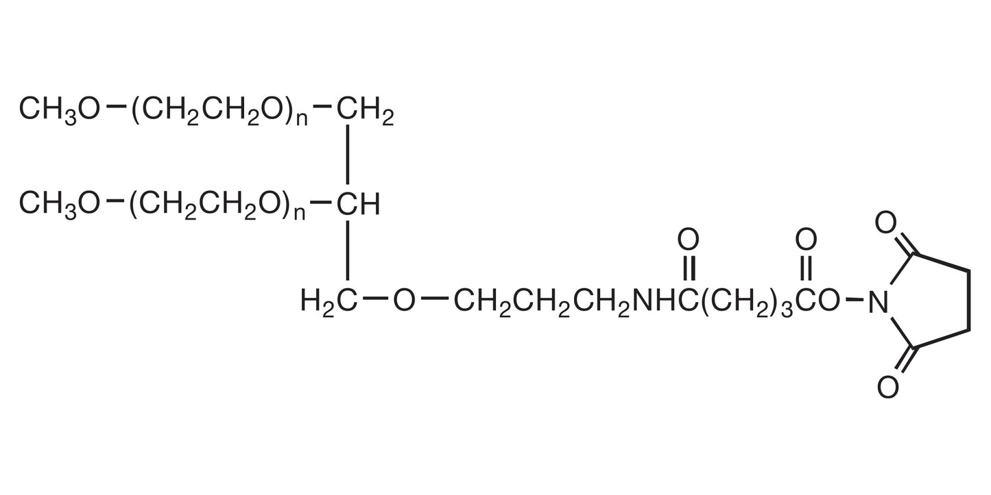
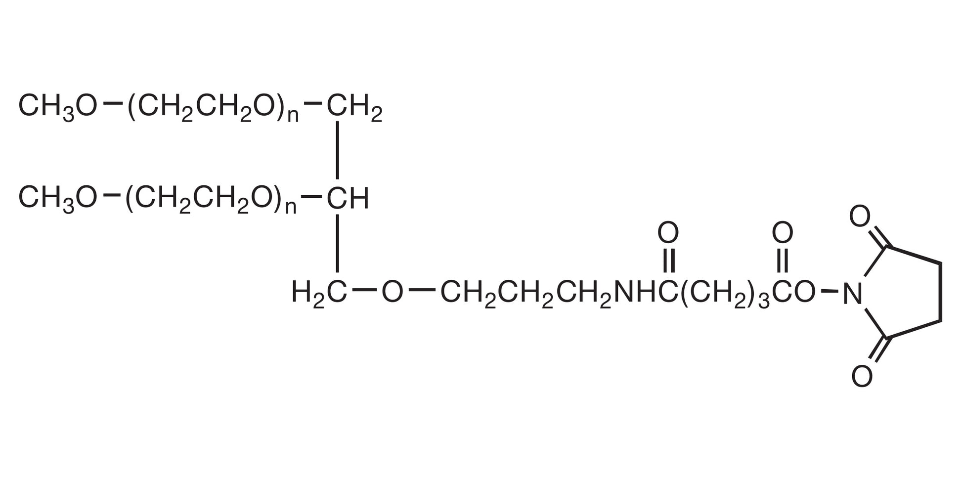
SUNBRIGHT GL2-800GS2 is a 2-arm branched NHS ester-PEG with a total molecular weight of 80 kDa (40 kDa per PEG arm). The NHS ester group readily reacts with amine-containing molecules to form stable amide bond. We originally developed and introduced this type of 2-arm branched activated PEG, which has already been successfully utilized in several marketed PEGylated drugs, demonstrating its practical utility and reliability in therapeutic applications.
2arm branched PEG, -(CH2)3NHCO(CH2)3COO-NHS, Mw 80,000
Chemical Name: 2,3-Bis(methylpolyoxyethylene-oxy)-1-{3-[(1,5-dioxo-5-succinimidyloxy, pentyl)amino]propyloxy} propane
Package size: 100mg or 1g
*: make-to-order
