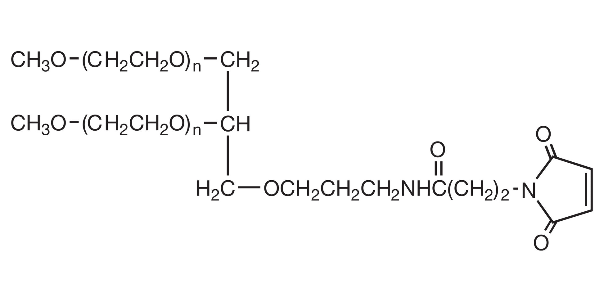
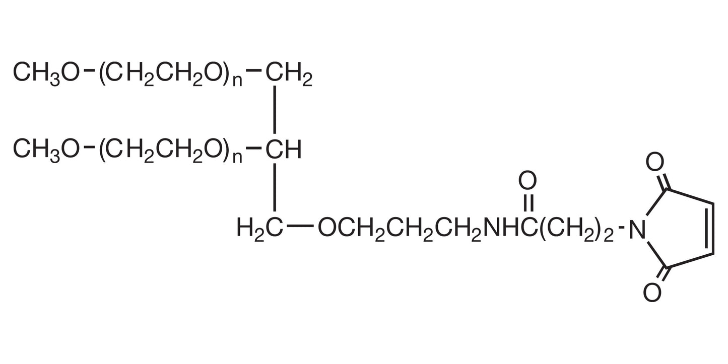
SUNBRIGHT GL2-200MA is a 2-arm branched maleimide-PEG with a total molecular weight of 20 kDa (10 kDa per PEG arm). The maleimide group site-specifically reacts with thiol groups on bioactive molecules (e.g., proteins, peptides, and other biologics), resulting in highly efficient and quantitative PEGylation. We originally developed and introduced this type of 2-arm branched activated PEG, which has already been successfully utilized in several marketed PEGylated drugs, demonstrating its practical utility and reliability in therapeutic applications.
2arm branched PEG, -(CH2)3NHCO(CH2)2-MAL, Mw 20,000
Chemical Name: 2,3-Bis(methylpolyoxyethylene-oxy)-1-{[3-(3-maleimido-1-oxopropyl)amino]propyloxy} propane
Package size: 100mg・1g
