About the MACBIOBRIDE® MG‑20P
MACBIOBRIDE® MG‑20P is a skin‑penetration‑enhancing ingredient with an additional preservative effect. It forms a smooth film on the skin and enhances the absorption efficiency of water‑soluble active agents. It also contributes to reducing preservative dosage within formulations due to its intrinsic antimicrobial performance.
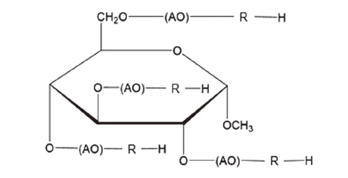
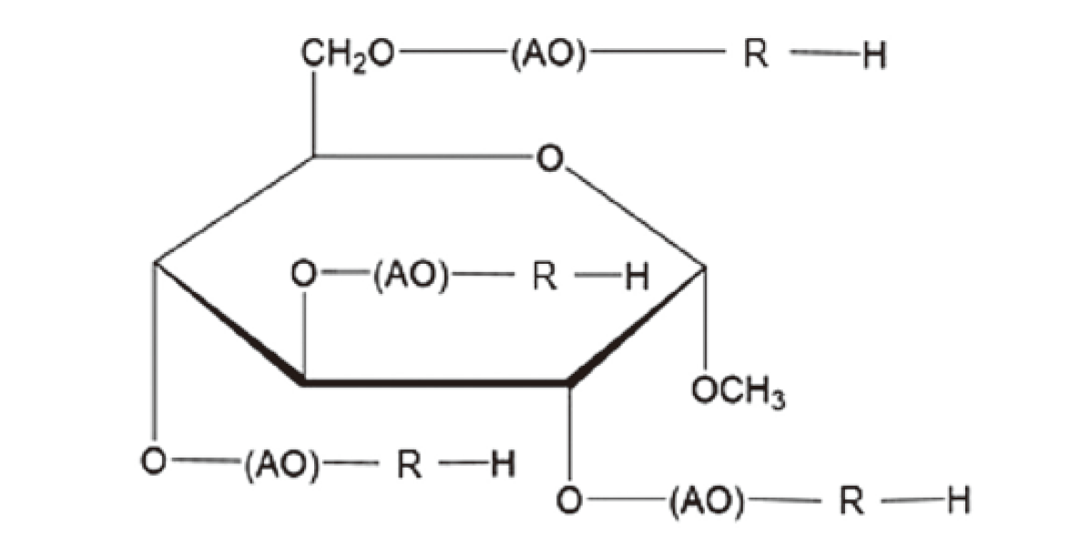
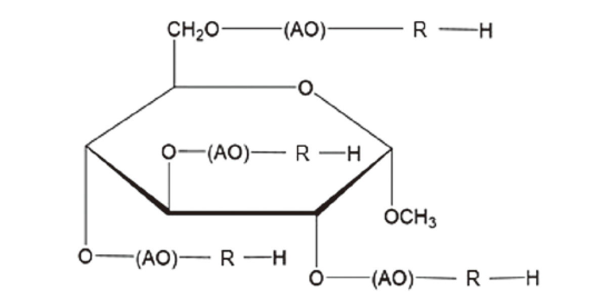
Structure
- INCI: PPG‑20 METHYLGLUCOSE ETHER
- Chinese INCI: PPG‑20 甲基葡糖
Features
- Provides a smooth film feeling on the skin
- Exhibits preservative effect that enables reduction of preservative dosage in formulations
- Enhances skin penetration of water‑soluble active agents
Applications
- Whitening serum formulations
- Formulations requiring enhanced penetration of hydrophilic actives
- Products requiring reduced preservative load through supplementary preservation
Download Catalog
