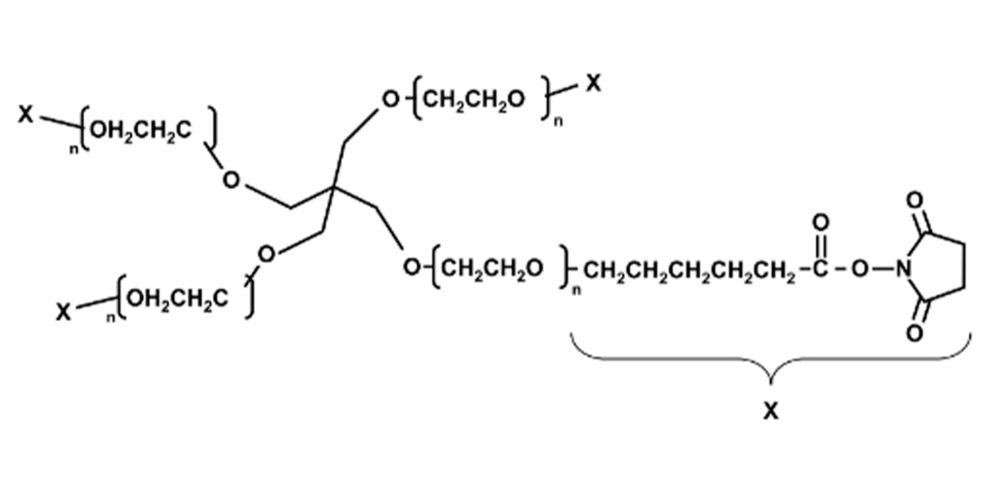
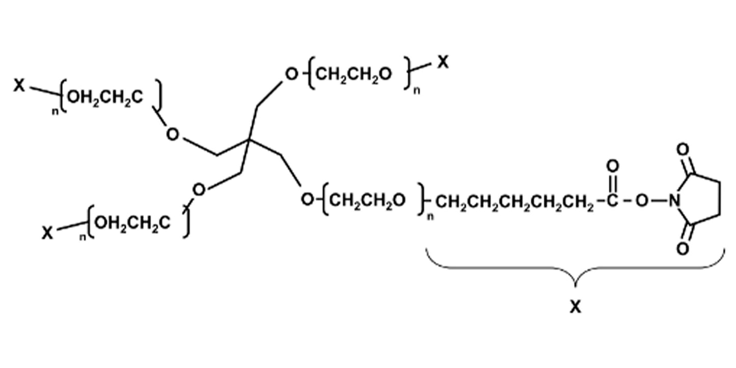
SUNBRIGHT PTE-200HS es un derivado de PEG de 4 brazos con un peso molecular total de 20 kDa (aproximadamente 5000 Da por brazo de PEG), que presenta grupos éster NHS en cada extremo. Su estructura multibrazo y los grupos éster NHS permiten una reticulación eficiente con moléculas que contienen amina, lo que hace que PTE-200HS sea adecuado para la formación de hidrogeles y otras aplicaciones biomédicas que requieren una construcción precisa de redes.
PEG de 4 brazos, -((CH 2 ) 5 COO-NHS) 4 , Mw 20 000
Nombre químico: Pentaeritritol tetra(succinimidil carboxipentil) polioxietileno
*: hecho a pedido
