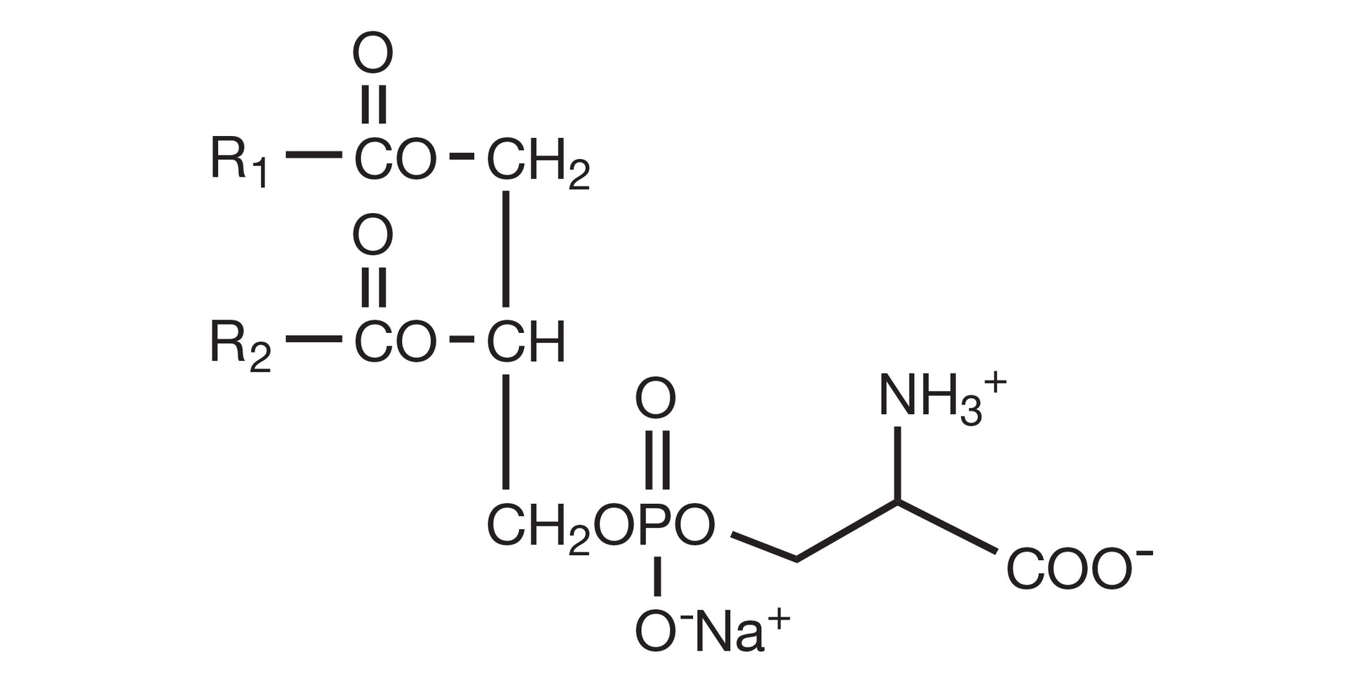
COATSOME MS-6060LS (DPPS-Na), o 1,2-Dipalmitoil-sn-glicero-3-fosfo-L-serina, sal sódica, es un fosfolípido sintético con una pureza ≥85 %. Con ácidos grasos C16:0 (16 átomos de carbono, sin dobles enlaces, ácido palmítico) en las posiciones sn-1 y sn-2, el DPPS-Na proporciona un grupo de cabeza de fosfoserina con carga negativa, lo que contribuye a mejorar las interacciones con la membrana y promueve la estabilización electrostática en formulaciones lipídicas.
El DPPS-Na es adecuado para formulaciones de nanopartículas liposomales y lipídicas (LNP) y facilita el diseño de sistemas avanzados de administración de fármacos. Fabricado con ácidos grasos altamente purificados, el MS-6060LS ofrece una calidad constante para la investigación farmacéutica y las aplicaciones clínicas.
Acrónimo: DPPS-Na
Nombre químico: 1,2-Dipalmitoil-sn-glicero-3-fosfo-L-serina, sal sódica
Número CAS: 145849-32-7
Pureza de PS: 85% más
Peso molecular: 758
Composición del alquilo: R 1 COO= C16:0, R 2 COO= C16:0
