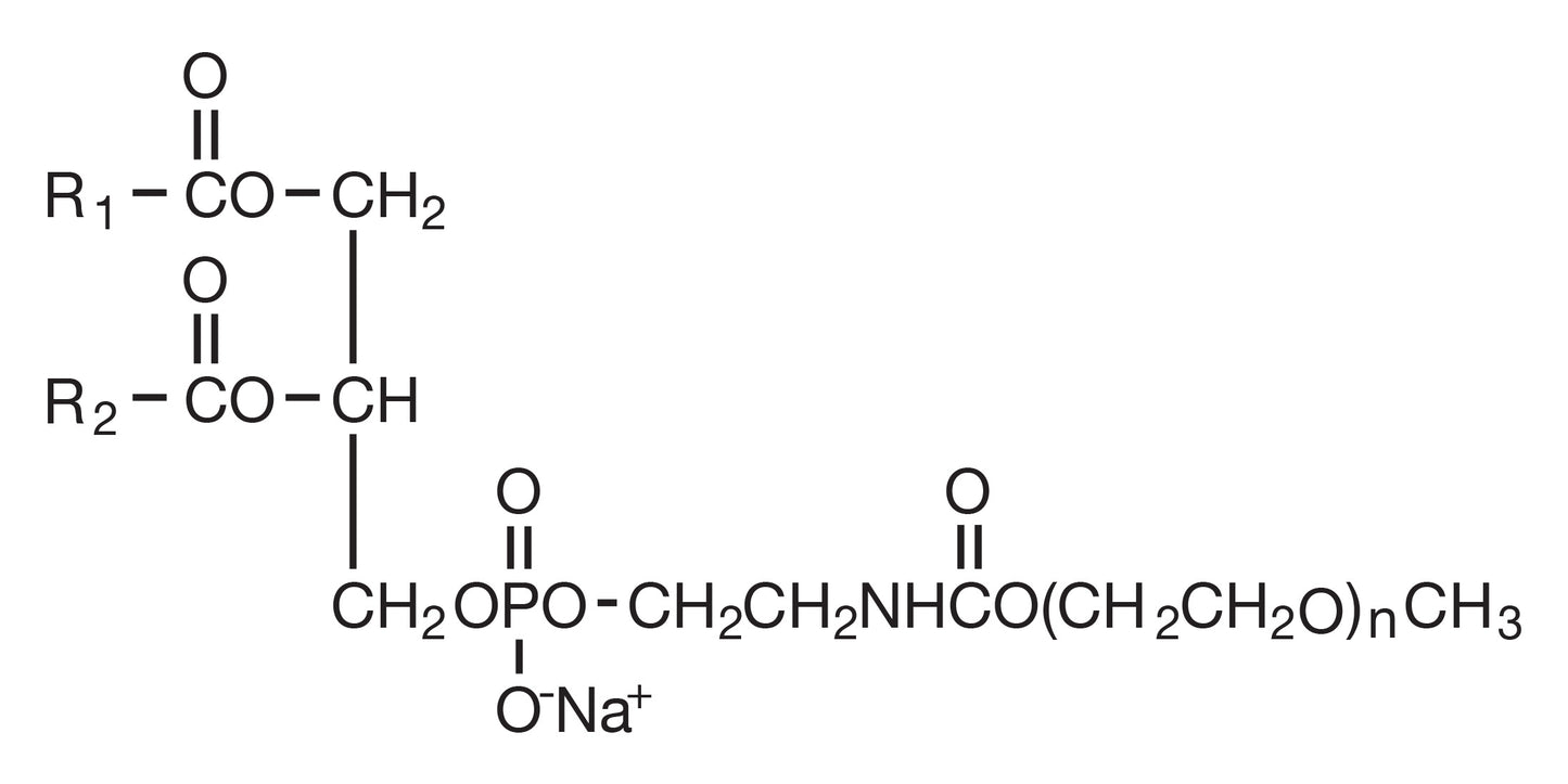
SUNBRIGHT DSPE-020CN (DSPE-PEG2000) can be applied to lipid nanoparticle (LNP) and liposomal formulations to extend the half-life in the bloodstream. Coating of the surface of LNPs or liposomes with polyethylene glycol (PEG) suppresses drug clearance in vivo by the reticuloendothelial system, thereby prolonging the half-life of the drug. DSPE-020CN has a carbamate linkage that is resistant to hydrolysis between the PEG moiety and DSPE (distearoyl phosphatidylethanolamine), and therefore is used for commercial production of PEGylated liposomes. DSPE-020CN can also be used as emulsifiers and stabilizers of microspheres in aqueous solutions.
Acronym: DSPE-PEG 2,000
Chemical Name: N-(Methylpolyoxyethylene oxycarbonyl)-1,2-distearoyl-sn-glycero-3-phosphoethanolamine, sodium salt
CAS#:
PEG chain Molecular weight: 2000
Alkyl composition: R1COO= C18:0, R2COO= C18:0
